Department of Pediatric Surgery

Inselspital Bern

The Department of Pediatric Surgery participates in University teaching programs for students of medicine. Our research focuses on oncobiology, necrotizing enterocolitis of the newborn, pediatric fracture traumatology and hip orthopedics, and non-invasive pain reduction in outpatient procedures.

To the Inselspital website

Director and Chief Physician

Prof. Dr. med. Steffen Berger

Profile

Teaching profile:

  • The Department for Pediatric Surgery participates in University teaching programs for students of medicine (Lectures, PBL-teaching, bedside teaching, practical year, clinical skills training, surgical rotation for students)

Research profile:

  • Oncobiology (laboratory research in childhood malignancies): PD Dr. E. Fasler-Kan.
  • Necrotizing enterocolitis of the newborn (Hosting of the international NEC registry): Prof. S. Berger, PD Dr. U. Kessler, Dr. T. Krause
  • Pathophysiology of necrotizing enterocolitis and appendicitis: PD Dr. U. Kessler
  • Pediatric extremity fractures (clinical research and follow-up studies): Dr. N. Kaiser
  • Development of new operative strategies in pediatric hip and knee surgery. PD Dr. K. Ziebarth, Dr. N. Kaiser
  • Non-invasive pain reduction in common outpatient procedures in pediatric surgery: Dr. C. Scherer
  • Kick-off Research Collaboration Boston-Bern on Simulation in Medical Education: Prof. P. Weinstock, Prof. S. Huwendiek, Dr. I. Steiner, Dr. A. Bartenstein

Grants

  • KinderInsel grants: Dr. Cordula Scherer,
  • AO foundation grants: PD Dr. Kai Ziebarth

Highlights 2025

Extracellular and intracellular functions of VISTA. (A) Scheme illustrating intracellular and extracellular activities of VISTA. (B) Illustration of 5 different possible functions of VISTA.

Intracellular and extracellular activities of V-domain Ig-containing suppressor of T cell activation (VISTA) modulated by immunosuppressive factors of tumour microenvironment

V-domain Ig-containing suppressor of T cell activation (VISTA) is a unique immune checkpoint protein, which was reported to display both receptor and ligand activities. Here we report for the very first time that VISTA interacts with another immune checkpoint protein galectin-9 inside the cell most likely facilitating its interaction with TGF-β-activated kinase 1 (TAK1):

  • VISTA can facilitate intracellular interactions of galectin-9 and TAK1.
  • VISTA expression can be induced by TGF-β and HIF-1 pathways and repressed by ATF-2.
  • VISTA expression is upregulated by TGF-β and HIF-1 if used for immune evasion.
  • If VISTA plays intracellular role, TGF-β/TAK1/ATF-2 pathway represses it. 

Aboali et al., Cancer Lett. 2025

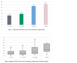
Quartiles and Boxplots of dose area product (DAP, in cGy • cm2) according to weight groups (without outliers) in pediatric patients undergoing port implantation.

Radiation exposure in pediatric port implantations – How low is reasonable achievable? A retrospective single-center study

Knowledge of radiation exposure in pediatric port implantation is limited. The present study was made to establish reference data for radiation exposure in children undergoing port implantation, analyzing all pediatric port implantations performed at our institution between 2018 and 2023. A total of 157 port implantations in 143 patients was studied. The mean radiation duration of fluoroscopy was 31 s. The value for the third quartile of the dose area product (DAP) was 24.6 cGy ⋅ cm2, with calculated effective doses ranging from 0.009 mSv to 0.023 mSv. The radiation exposure was found to be positively correlated with patient’s weight. The present analysis provides a benchmark for children and adolescents, useful for quality control and the development of protocols that aim to reduce radiation exposure in children.

Krause et al., Eur J Radiol. 2025